HL Paper 1
Which monomer could create this polymer?

A. But-2-ene
B. But-1-ene
C. Propene
D. 2-Methylprop-1-ene
Which reagents and conditions are best for converting propan-1-ol into propanoic acid?
A. Reflux with acidified potassium dichromate (VI)
B. Reflux with LiAlH4
C. Distil with acidified potassium dichromate (VI)
D. Distil with LiAlH4
Which is the correct combination of substitution reaction mechanisms?

What is the IUPAC name of the following molecule?
A. 2-bromo-3-ethylbutane
B. 3-methyl-4-bromopentane
C. 2-ethyl-3-bromobutane
D. 2-bromo-3-methylpentane
Which functional group is responsible for the pKb of 4.1 in this compound?
A. Amido
B. Amino
C. Chloro
D. Ether
Which compound has the lowest boiling point?
A. CH3CH2CH2CH2CH2CH3
B. CH3CH2CH2CH2CH3
C. CH3CH(CH3)CH2CH3
D. CH3C(CH3)2CH3
Methane reacts with chlorine in sunlight.
CH4 (g) + Cl2 (g) → CH3Cl (g) + HCl (g)
Which type of reaction occurs?
A. free-radical substitution
B. electrophilic substitution
C. nucleophilic substitution
D. electrophilic addition
Which compound with the molecular formula has this high resolution ?
From: libretexts.org. Courtesy of Chris Schaller, Professor (Chemistry)
at College of Saint Benedict/Saint John’s University.
A. but-3-en-2-ol,
B. butanal,
C. butanone,
D. but-3-en-1-ol,
Which compounds can be reduced?
I. C2H4
II. CH3COOH
III. CH3CHO
A. I and II only
B. I and III only
C. II and III only
D. I, II and III
Which alcohol would produce a carboxylic acid when heated with acidified potassium dichromate(VI)?
A. propan-2-ol
B. butan-1-ol
C. 2-methylpropan-2-ol
D. pentan-3-ol
In which order should the reagents be used to convert benzene into phenylamine (aniline)?
What is the major product of the reaction between 2-methylbut-2-ene and hydrogen bromide?
A. 3-bromo-2-methylbutane
B. 3-bromo-3-methylbutane
C. 2-bromo-3-methylbutane
D. 2-bromo-2-methylbutane
Which reaction involves homolytic fission?
A. CH4 + Cl2
B. CH3Br + NaOH
C. (CH3)3CBr + NaOH
D. C6H6 + HNO3 + H2SO4
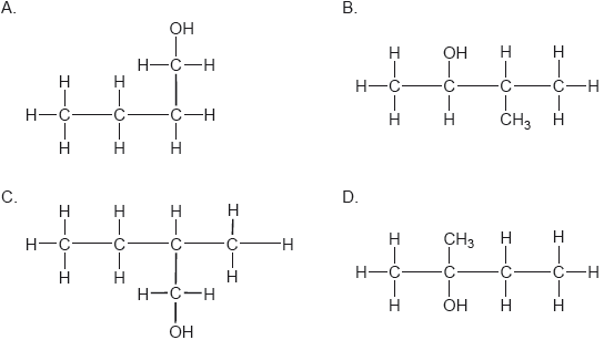
Which is a secondary alcohol?

Which would be the most effective method to distinguish between liquid propan-1-ol and propan-2-ol?
A. Observation of colour change when warmed with acidified potassium dichromate
B. Determination of m/z value of molecular ion in the mass spectrum
C. Determination of percentage composition
D. 1H NMR spectroscopy
Which molecule can be oxidized to a carboxylic acid by acidified potassium dichromate(VI)?
A. Propan-1-ol
B. Propan-2-ol
C. 2-methylpropan-2-ol
D. Propanone
What must be present on a nucleophile?
A. Negative charge
B. Lone pair of electrons
C. Positive charge
D. Symmetrical distribution of electrons
Which can be reduced to a secondary alcohol?
A. C2H5COOH
B. CH3CH2OCH3
C. (CH3)2CHCHO
D. CH3COC2H5
What is the name of this compound using IUPAC rules?
A. 2,3-diethylbutane
B. 2-ethyl-3-methylpentane
C. 3-methyl-4-ethylpentane
D. 3,4-dimethylhexane